| 業務中心: | 0371-55696552 18037153049 |
您的當前位置:魯班培訓-一建培訓,二建培訓,監理,注冊安全工程師等 > 復習備考 > 備考指南 >
二級建造師每日一練(11.9)

B、A、B兩項工作不能同時結束
C、對A、B兩項工作的代號加以區分
D、A、B兩項工作必須同時結束
向下滑動查看參考答案
↓
↓↓
↓↓↓↓
答案:C
解析:雙代號網絡圖中每一項工作都必須用一條箭線和兩個代號表示,若A、B兩項工作的代號相同時,應使用虛工作加以區分。1-2代表A工作,1-3代表B工作,故選C。
B、總時差、局部時差、計算工期
C、工作、節點、線路
D、工作、節點、關鍵線路
向下滑動查看參考答案
↓
↓↓
↓↓↓↓
答案:C
解析:雙代號網絡圖是以箭線及其兩端節點的編號表示工作的網絡圖。(1)箭線(工作);(2)節點(又稱結點、事件);(3)線路。故選C。

B、1-2-5-6
C、1-2-3-4-5-6
D、1-2-3-5-6
向下滑動查看參考答案
↓
↓↓
↓↓↓↓
答案:C
解析:關鍵線路是工作持續時間總和最長的線路。經計算可知,線路1-2-3--4-5-6上工作持續時間總和為23,數值最大。故選C。
B、提前1周通知韓某解除勞動合同
C、與韓某的勞動合同期滿后解除其勞動合同
D、額外支付韓某1個月工資后,解除勞動合同
向下滑動查看參考答案
↓
↓↓
↓↓↓↓
答案:D
解析:本題考查的是勞動合同的解除和終止?!秳趧雍贤ā返?0條規定,勞動者不能勝任工作,經過培訓或者調整工作崗位,仍不能勝任工作的,用人單位提前30日以書面形式通知勞動者本人或者額外支付勞動者1個月工資后,可以解除勞動合同。故選項D正確。
B、基本醫療保險
C、工傷保險
D、失業保險
E、生育保險
向下滑動查看參考答案
↓
↓↓
↓↓↓↓
答案:CE
解析:本題考查的是勞動者的社會保險與福利。1、職工應當參加基本養老保險,由用人單位和職工共同繳納基本養老保險費。2、職工應當參加職工基本醫療保險,由用人單位和職工按照國家規定共同繳納基本醫療保險費。3、職工應當參加工傷保險,由用人單位繳納工傷保險費,職工不繳納工傷保險費。4、《社會保險法》規定,職工應當參加失業保險,由用人單位和職工按照國家規定共同繳納失業保險費。5、《社會保險法》規定,職工應當參加生育保險,由用人單位按照國家規定繳納生育保險費,職工不繳納生育保險費。
B、在試用期內的
C、用人單位瀕臨破產
D、用人單位強令冒險作業
E、用人單位以暴力、威脅手段強迫勞動者勞動的
向下滑動查看參考答案
↓
↓↓
↓↓↓↓
答案:ADE
解析:本題考查的是勞動合同的解除和終止。勞動者解除勞動合同,應當提前30日以書面形式通知用人單位,試用期內提3日通知用人單位。但是,用人單位以暴力、威脅或者非法限制人身自由的手段強迫勞動者勞動的,或者用人單位違章指揮、強令冒險作業危及勞動者人身安全的,勞動者可以立即解除勞動合同,不需事先告知用人單位。故A、D、E正確。
B、建設單位項目負責人
C、政府質量監督部門
D、驗收人員共同商定
向下滑動查看參考答案
↓
↓↓
↓↓↓↓
答案:D
解析:本題考查的是建筑工程驗收管理的有關規定。工程的觀感質量應由驗收人員通過現場檢查,并應共同確認。A、B、C的說法片面,正確答案為D。
B、檢測點應距樓地面高度1.5~2.0m
C、檢測點應集中分布
D、避開通風道和通風口周邊
向下滑動查看參考答案
↓
↓↓
↓↓↓↓
答案:D
解析:本題考查的是室內環境污染物檢測方法的要求。民用建筑工程驗收時,環境污染物濃度現場檢測點應距內墻面不小于0.5m,故A錯誤;距樓地面高度0.8~1.5m,故B錯誤;檢測點應均勻分布,避開通風道和通風口,故C錯誤、D正確。
B、新建
C、改建
D、擴建
E、臨時設施
向下滑動查看參考答案
↓
↓↓
↓↓↓↓
答案:BCD
解析:本題考查的是竣工圖的編制與審核應符合的規定。新建、改建、擴建的建筑工程均應編制竣工圖;竣工圖應真實反映竣工工程的實際情況。故B、C、D正確。
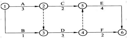
某市政工程網絡計劃圖如下(單位為月),該工程的總工期是( )。

B、9
C、8
D、6
向下滑動查看參考答案
↓
↓↓
↓↓↓↓
答案:A
解析:此題考查了關鍵線路計算。該工程的關鍵線路為①→②→③→④→⑤→⑥,工期為3+3+4=10。故A正確。
B、時間
C、階段
D、專業
向下滑動查看參考答案
↓
↓↓
↓↓↓↓
答案:A
解析:本題主要考查的是施工進度目標控制。施工進度目標控制按單位工程分解為交工分目標,制定子單位工程或分部工程交工目標。
某施工單位承接了某公路項目施工,工程內容含路基、路面及橋梁一座,合同工期220天。根據合同約定,土方工程實際完成最超過清單數量的25%之后,超出部分的土方工程單價由清單報價的20元/立方米下調為18元/立方米。按投標書附錄規定,受價格上漲影響,人工、水泥和鋼材按調值公式調價。該工程的人工費占全合同價的35%,水泥費用占25%,鋼材費用占10%。合同簽訂后,項目部編制了施工組織設計,安排路基工程與橋梁工程平行施工;路基工程、路面工程分別組織順序施工,由于施工橋臺的鋼模板只有一套,南、北橋臺亦組織順序施工。經監理工程師審查批準的網絡計劃見下圖。征得業主同意,施工單位將橋臺基礎工程分包給了某基礎工程專業公司。

在路基施工過程中,由于設計變更,路基土方工程量由清單工程量15萬立方米增加到21萬立方米,工程進行到第4個月時,水泥價格較投標時漲價20%,人工、鋼材價格未變,當月承包人完成的工程產值為145萬元。
路基施工接近尾聲時,業主要求承包人仍需按原合同工期完成施工。承包人擬采取將路面基層與路面面層間的順序施工調整為分兩個施工段組織無節拍流水施工的措施(路面基層在兩個施工段上的持續時間均為20天,路面面層在兩個施工段上的持續時間均為10天),以期在合同工期內完成施工。
2.計算路基土方工程的結算價。(保留兩位小數)
3.計算第4個月調價后的結算款。(保留兩位小數)
4.計算分析路面基層與面層施工組織方法調整的可行性。
向下滑動查看參考答案
↓
↓↓
↓↓↓↓
答案:
解析:1.組織關系。工作之間由于組織安排需要或資源(勞動力、原材料、施工機具等)調配需要而規定的先后順序關系稱為組織關系。最早開始時間:78天。關鍵線路:1-2-9-10-11(210天)。
2.按原單價結算的工程量:15×(1+25%)=18.75萬立方米,按新單價結算的工程量:21-18.75=2.25萬立方米總。結算價:18.75×20/m3+2.25×18/m3=415.50萬元
3.結算款:145×[0.3+0.35+0.25×(1+20%)+0.1]=152.25萬元
4.可行。原順序施工時間是20+20+10+10=60天,如改為流水施工,前后搭接,工期=20+30=50,可節約10天工期,這樣可在216天完成,因此,相對于220天的合同工期,是可行的。
某項目部總承包了一個制藥車間的全部機電安裝工程,除土建分包外,工程包括有機械設備安裝、工藝管道安裝、常壓容器安裝、電氣安裝、自動化儀表安裝和給水排水安裝等。其中管道3500m(其中DN100以上的蒸汽管道500m);設備有85臺套/65t;非標制作23臺/52t;室內潔凈度為N7級。施工中,關鍵設備反應釜因焊接施工措施不當導致內搪的玻璃涂層發生嚴重灼傷,形成質量問題。工程竣工驗收投入使用后,計算機房由甲供的風機盤管的冷凍水柔性接管發生斷裂現象而漏水,施工單位采用新型柔性接管返修。
1.項目部對出現的質量問題,應如何進行原因分析?
2.對反應釜安裝出現的質量問題應如何處理?理由是什么?
3.總承包單位應該怎樣策劃該工程質量檢驗和驗收?
4.施工單位采用新型柔性接管返修運行正常后,應進行什么性質的回訪?為什么?
向下滑動查看參考答案
↓
↓↓
↓↓↓↓
答案:
解析:1.質量問題的原因分析要建立在對質量問題情況充分調查的基礎上,避免情況不明就主觀分析推斷質量問題的原因。對人、機、料、法、環的五大影響因素進行原因分析,從中找出發生質量問題的主要因素,以利整改。
2.由于發生焊接灼傷的部位在反應釜內襯涂層上,是與藥品原料直接接觸的部位,不進行處理勢必影響生產藥品的質量,也就是說不能滿足生產工藝要求,因而要進行返工,具體做法是將反應釜運回制造廠,重新搪玻璃涂層。
3.這是一個工業項目,由于包括土建工程和機電安裝工程,應該按照土建工程和機電安裝工程單獨劃分單位工程、分部分項工程的劃分,單獨進行質量控制和驗收。機電安裝工具工程又包括建筑機電安裝工程和工業機電安裝工程,應該根據不同的質量檢查和驗收標準進行檢驗和驗收。
4.應進行技術性回訪,因為返修使用的是新型柔性接管,要了解其技術性能和使用后的效果,發現問題及時加以補救和解決,同時也便于總結經驗,不斷改進完善,以利推廣應用。
此題是施工質量類考題,主要包含質量問題的處理方式、相關回訪的類型及技術要求??忌芨鶕咐尘斑M行總結提煉,并結合教材知識點作答。一般質量問題是考試的熱點內容,需要重點掌握。
中聯機電安裝公司承建某四星級賓館的機電安裝工程任務。該工程的設計單位在設計中選用多項新材料(如衛生間節能燈、電氣插銷和照明開關、通風空調系統的通風配件和保溫材料、熱水管柔性接管等)和節能型燃氣鍋爐等。整個建筑物的接地系統(體)可能為防雷接地、工作接地、保護接地、抗干擾接地等所共用,也可能分別設置。根據實際由中聯機電安裝公司和設計院商定,中聯機電安裝公司將熱力管道工程分包給業主指定的富達管道工程公司,其管材和閥門由中聯機電安裝公司采購供應。
富達管道工程公司承建的熱力管網安裝完畢后,于2010年8月向業主提出竣工驗收,并通過;中聯機電安裝公司承建的工程于2011年3月竣工驗收合格。
事件一:2012年冬季供暖時,發現熱力管網閥門漏水嚴重,業主要求中聯機電安裝公司對熱力管網閥門進行修理,并承擔經濟費用,但中聯機電安裝公司以業主指定分包并直接驗收工程為由,拒絕修理。
事件二:2013年冬季供暖時,其中有一棟樓暖氣管道多處裂紋漏水。經查證是項目經理通過關系購進的廉價劣質有縫鋼管。
1.回訪計劃宜安排在什么時間合適?該采暖工程的保修期限到什么時候?
2.整個建筑物的接地系統(體)設置有何要求?
3.針對事件一:A公司的做法是否合適?為什么?
4.針對事件二:采暖工程已過了保修期限,A公司是否應對該質量問題負責?為什么?
5.熱力管網閥門按規范要求應進行哪些試驗?
向下滑動查看參考答案
↓
↓↓
↓↓↓↓
答案:
解析:1.宜采用季節性回訪,回訪計劃宜安排在2010年12月進行。該采暖工程的保修期限到2012年春季的供暖期結束。
2.因為整個建筑物的接地系統(體)可能為防雷接地、工作接地、保護接地、抗干擾接地等所共用,也可能分別設置。所以,如為共用接地系統,則要審閱不同專業的相關圖紙對接地裝置接地電阻值的規定,以滿足最小值要求為準;如為分別設置的,則在敷設時要保持不同接地體間的距離,更不能直接導通,以免相互干擾。
3.中聯機電安裝公司的做法是不合適的。因為中聯機電安裝公司與富達管道工程公司是總分包關系,《建設工程施工質量管理條例》規定了總包單位對分包單位的施工質量有連帶責任;同時閥門是中聯機電安裝公司采購供應的,不能排除其產品質量問題,所以中聯機電安裝公司應對該質量問題負責。
4.中聯機電安裝公司應對暖氣管道的質量問題負全部責任?!督ㄔO工程施工質量管理條例》規定,材料、設備采購質量應由采購方負責,不應受保修期限制。
5.熱力管網閥門按規范要求應進行強度和嚴密性試驗,試驗應在每批(同牌號、同型號、同規格)數量中抽查10%,且不少于一個。安裝在主干管上起切斷作用的閉路閥門,應逐個做強度試驗和嚴密性試驗。
某施工單位承接一項200MW火力發電廠全部機電安裝工程,工程內容包括:鍋爐機組、汽輪發電機組、廠變配電站、化學水車間、制氫車間、空氣壓縮車間等。其中鍋爐汽包重102t,安裝位置中心標高為52. 7m;發電機定子158t(不包括兩端罩),安裝在標高+10. 00m平臺上。且汽機車間僅配置一臺75/20t橋式起重機;壓力容器和管道最高工作壓力為13. 73MPa。由于工期緊和需要節約成本,水冷壁安裝第一次采用地面組合整體柔性吊裝新工藝。由于該項目經理部注重項目成本各階段的控制,對成本控制的內容責任落實,重點突出,方法得當,并定期開展三同步檢查活動,因此工程竣工后取得了較好的經濟效益。
2.按施工項目成本構成如何對材料費成本進行分析?
3.汽機間熱力管線鋼管用量大,編制兩套工藝管線安裝施工方案,兩套方案的計劃用工日數均為2500個,預算日平均工資為50元,計劃用鋼材500t,計劃價格為7000元/t。方案甲為買現貨,價格為7100元/t,方案乙為第15天后取貨,價格為6 800元/t。如按方案乙實行,則工人窩工150工日,機械臺班費需增加20000元,現場管理費需增加15000元。通過進度分析,方案甲和方案乙兩種情況均不影響工期。試用因素分析法分析最低工程成本。該施工單位決定采用哪種工藝管線方案?
4.本工程應對哪些施工方案進行技術經濟比較?
向下滑動查看參考答案
↓
↓↓
↓↓↓↓
答案:
解析:1.本項目在施工過程中人工成本從嚴格勞動組織,合理安排生產工人進出場時間;嚴格勞動定額管理,實行計件工資制;強化生產工人技術素質,提高勞動生產率進行控制。
本項目應以材料成本、施工機械費控制為主要控制內容。
2.按施工項目成本構成對材料費成本進行以下分析:量差,材料實際耗用量與預算定額用量的差異;價差,即材料實際單價與預算單價的差異,包括材料采購費用的分析。
3.本案例分析計算:
(1)計劃成本=50×2500+7000×500=3625000元;
(2)因素1(方案甲),購買現貨的實際成本=50×2500+7100×500=3675000元;
(3)因素2(方案乙),購買期貨的實際成本=50×(2500+150)+6800×500+20000+15000=3567500元
結論:在不影響工期的前提下,方案乙成本最低,比計劃成本低57500元,方案甲的成本最高,比計劃成本高50000元。方案乙的成本比方案甲的成本低1075000元。施工單位決定采用方案乙,從經濟角度是正確的。
4. 本工程中需作經濟分析的主要施工方案有:發電機定子設備吊裝運輸、鍋爐鍋筒吊裝、鍋爐鋼結構焊接安裝、高壓管道(如主蒸汽、主給水)焊接、水冷壁的整體柔性吊裝、整套負荷試運轉和無損檢測等工作內容。
B、7
C、8
D、9
向下滑動查看參考答案
↓
↓↓
↓↓↓↓
答案:A
解析:本題考查的是關于建造師專業劃分的說明。為適應建筑市場發展需要,有利于建設工程項目與施工管理,人事部辦公廳對建造師資格考試《專業工程管理與實務》科目的專業類別進行了調整,調整后二級建造師資格考試科目設置為6個專業類別。
B、國務院
C、有關水行政主管部門
D、防洪行政部門
向下滑動查看參考答案
↓
↓↓
↓↓↓↓
答案:C
解析:本題考查的是倒虹吸管的構造和作用。
工程設施需要占用河道、湖泊管理范圍內土地,跨越河道、湖泊空間或者穿越河床的,建設單位應當經有關水行政主管部門對該工程設施建設的位置和界限審查批準后,方可依法辦理開工手續。
B、11
C、13
D、14
向下滑動查看參考答案
↓
↓↓
↓↓↓↓
答案:D
解析:本題考查的是注冊建造師執業工程規模標準。《注冊建造師執業工程規模標準是按照建造師的14個專業分別進行劃分的。
B、鉆孔樁
C、挖孔柱
D、沉井
向下滑動查看參考答案
↓
↓↓
↓↓↓↓
答案:B
解析:鉆孔樁質量控制關鍵點:樁位坐標與垂直度控制;護筒埋深;泥漿指標控制;護筒內水頭高度;孔徑的控制,防止縮徑;樁頂、樁底標高的控制;清孔質量;鋼筋籠接頭質量;導管接頭質量檢查與水下混凝土的灌注質量。
B、厚度
C、平整度
D、摩擦系數
向下滑動查看參考答案
↓
↓↓
↓↓↓↓
答案:A
解析:瀝青混凝土面層和瀝青碎(礫)石面層的實測項目:壓實度(△)、平整度、彎沉值、滲水系數、摩擦系數、構造深度、厚度(△)、中線平面偏位、縱斷高程、寬度、橫坡、礦料級配(△)、瀝青含量(△)、馬歇爾穩定度。水泥混凝土面層實測項目有:彎拉強度(△)、板厚度(△)、平整度、抗滑構造深度、橫向力系數SFC、相鄰板高差、縱橫縫順直度、中線平面偏位、路面寬度、縱斷高程、橫坡、斷板率。
B、作業標準
C、施工規范及驗收標準
D、工程質量要求
E、監理辦法
向下滑動查看參考答案
↓
↓↓
↓↓↓↓
答案:BCD
解析:第三級交底主要內容為分部分項工程的施工工序等。包括作業標準、施工規范及驗收標準,工程質量要求;施工工藝流程及施工先后順序;施藝細則、操作要點及質量標準;質量問題預防及注意事項;施工技術措施和安全技術措施;重大危險源、岀現緊急情況下的應急救援措施、緊急逃生措施等??偣て诤捅O理辦法屬于第一級交底。
鄭州




